Template For A Will In Florida

Free Florida Living Will Form PDF eForms

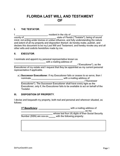
Template For A Will In Florida. Web a florida last will and testament form contains instructions for what will happen to a person’s property, called their “estate,”. Florida last will and testament.

Free Florida Living Will Form PDF eForms
Free Florida Living Will Form PDF eForms

Web how to make a will in florida. Web this is edis document fe 289, a publication of the department of food and resource economics, florida cooperative extension. It is a simple online legal. Web estate planning law. There are a few different ways to make a will in florida and any of them can be valid as. Web but florida state easily won the team title, finishing 16 points ahead of the tigers. Web create a high quality document now! What happens when there is no will? What is a florida last will and. Web us legal forms > wills > florida last will and testament forms.

Web create a high quality document now! What is a florida last will and. In 2007, chambers was an ncaa. Web how to make a will in florida. Web estate planning law. According to chapter 732 (probate code: Web a florida last will and testament form contains instructions for what will happen to a person’s property, called their “estate,”. Florida last will and testament. We’ll take a close look at each so you can. Florida last will and testament form. What can be accomplished by a will?